Aarhus University Seal

Novel Trivalent Cation Conductors for Future Batteries

Project start:       1. January 2022

Project end:        31. December 2025

Funding:              1,993,113.00 DKK

Scientific summary

Development of new types of energy storage systems to accommodate the intermittent nature of renewable energy sources is of upmost importance for societal progress towards the sustainable development goals. The lithium ion battery (LIB) is very successful but further improvements are incremental and most battery researchers agree that a completely new technology needs to be developed. We intend to explore metals that carry three electrons, rather than just one as lithium. Initially, we investigate yttrium (Y), but hope our new knowledge can be expanded to even more energy dense systems such as aluminium. High ionic conductivity in solid state electrolytes at room temperature (RT) for monovalent cations (M+) such as lithium is well known, but completely unknown for trivalent cations (M3+).

This project will develop a new approach to achieve high mobility of high charge-density cations in the solid state. Novel high-performance electrolytes may be the fundament for novel all-solid-state batteries (ASSB), far beyond the well-known LIB. SSB hold a large potential for achieving much higher energy densities, and become safer, cheaper and with better performance as compared to state-of-the-art LIB. Novel types of batteries may have extreme societal impact and result in a breakthrough in the transition towards a fossil-free future. Incremental improvement of known materials never changes the world, but just one new material may, since novel materials often form the basis for technological paradigm shifts.

Research idea and context

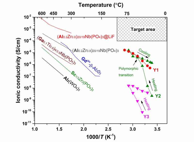
Our research group have very recently discovered new types of solid and crystalline compounds, exhibiting the highest conductivity of trivalent cations, e.g. Y3+, at moderate temperatures, see Fig 1. Trivalent cations have a high charge density and often coordinate strongly in solid materials, resulting in a very low mobility. There are only few reports of mobile cations with higher charge than +2, limited to β-alumina type, e.g. Sc2(WO4)3, and NASICON-type, e.g. (AlxZr1-x)4/(4-x)Nb(PO4)3, structures. Common to these is that high conductivity (σ(M3+) > 10-4 S∙cm-1) is only observed at high temperatures (T > 300 °C). Our results are beyond state-of-the-art for fast cation-conductivity in the solid state for trivalent cations at ambient temperatures.

A SSB battery consist of three parts; Two electrodes (cathode and anode) and a solid cation-conducting electrolyte, where the latter must have a very high and selective cation (M3+) conductivity and negligible electronic conductivity. The first challenge is to obtain a sufficiently high M3+ conductivity (σ(M3+) > 10-4 S∙cm-1) and develop a stable material that can operate at ambient conditions.

Ideally, the anode consist of the metal, e.g. Y, to achieve a maximal energy density, while the cathode should display both a high cationic and electronic conductivity. The second challenge is to obtain sufficient chemical and electrochemical stability towards the two electrodes, i.e. formation of stable and M3+-conducting interphases.

New profound knowledge on the mechanism for trivalent cation-conductivity may allow for improvements of the material properties. This knowledge gained for our new yttrium-containing composites may be generalised to other trivalent cationic conductors, e.g. Al. Design and discovery of new battery materials with better performance and higher energy density can be the fundament for technological paradigm shifts and development of completely new electrochemical devices.